北大新研究用数学模型揭网红崛起奥秘!登上Nature子刊
社交网络对我们生活的影响越来越广:在信息传播、新技术应用、舆论营造和形成中都发挥着关键作用。2020 年,推特用户每天发送 5 亿条推文,超过 8000 万张图片通过Instagram发布。
这些基于 UGC 的定向在线平台在很大程度上影响了社会,社交网络用户所能接触到的信息和受众,远远超出现实生活中的朋友。在这个过程中,一些用户迅速获得人气,成为所谓的「网红」。
这些追随者众多的「网红」的社会影响力不可小觑。,已经深刻影响了消费者和公司在市场中的行为,2017 年,超过 70% 的美国企业聘请 Instagram 网红来推广产品。
网红是如何产生的?背后的机制究竟是什么?这些问题引发了越来越多学者的关注。

论文链接:
https://www.nature.com/articles/s41467-021-27089-8.pdf
近日,由北京大学、瑞士苏黎世联邦理工大学领导的研究团队就从数学模型角度,对社交网络上的「显著影响者」,即「网红」的产生和被用户关注的机制进行了分析。
这篇文章发表在近日出版的《自然·通信》上。
与 21 世纪头十年蓬勃发展的 Facebook 和 LinkedIn 相比,当今最流行的平台,例如 Twitter、Instagram 或 TikTok,表现出一些其他明显的特征。
最明显的区别之一是,这些新的在线社交平台属于定向网络,也就是说,不需要双方同意,也可以按照算法推荐建立关系。
新网红是如何产生的?
从直观上,质量更好的 UGC 更有可能吸引用户,情感价值更高,更容易成为「网红」。但研究表明,除了少数模型之外,其他领域的「网红」产生规模效应的研究更加集中社会经济方面,忽略了 UGC 的影响。
之前阐释网红诞生机制的模型,基于「优先依恋」模型。不过这种「富人会越来越富」的理论,并不能证明新的 Instagram网红崛起的原因,很多网红在成功之前都是没什么名气的。
「内容为王」:生成内容质量更高
文章提出了一种简单但可预测的网络形成机制,结合了功利原则和 UGC 质量。研究假设用户有共同的兴趣,并将他们与定义其 UGC 质量的属性相关联。
为了定义基于 UGC 的形成过程,研究人员收集了Twitter 数据集,分析连接的时间序列,发现有证据表明,网红的形成过程源于个人对更好质量的 UGC 的不断搜索,并与关注者的兴趣出现了「对齐」,即网红与粉丝的兴趣同质性。
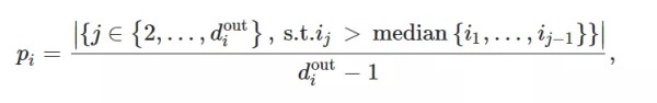
关注者的数量可以被视为网红UGC质量的agent。按照UGC质量降序给agent进行编号。agent1被视作UGC质量最高,agent2质量次之,以此类推。
对于agent i,计算出新连接比之前连接的中位数排名更高(在排名中)的可能性。

研究结果与假设吻合,按照被关注可能性评估,关注者始终在追寻UGC质量更好的网红。

研究数据与纯随机结果(浅蓝色)的比较,二者在统计学上差异显著。
齐夫定律

齐夫定律(Zipf's law)是由哈佛大学的语言学家乔治·金斯利·齐夫于1949年发表的实验定律。它可以表述为:在自然语言的语料库里,一个单词出现的频率与它在频率表里的排名成反比。
所以,频率最高的单词出现的频率大约是出现频率第二位的单词的2倍,而出现频率第二位的单词则是出现频率第四位的单词的2倍。
实验证明,本研究中的模型也遵循这一缩放定律。

网红粉丝的「重叠」
分析两个网红被同一个第三个用户关注的概率也是一个有趣的问题。换句话说,目标是研究不同agent的粉丝集合之间的相似性。这个相似性揭示了粉丝的共同兴趣的存在。
为了验证模型,研究人员在Twitch上收集了三个数据集,这是一个流行的在线游戏平台,并成功验证了模型的正确性。
这表明,本文中的模型尽管形式简单,但已经得出了几个现实世界中影响「网红」崛起的属性。

如上图所示,agent的粉丝在前 15 个节点之间的重叠结果和验证数据集对照。a图平均数值结果是从模拟中获得的,当达到平衡时,有 10^5 个代理。b图来自与国际象棋类别相关的 Twitch 数据集结果。
未来方向
许多当今最流行的在线社交网络都在很大程度上基于 UGC。此文分析了基于 UGC 的在线社交网络的几个宏观特征。
此外,由于简单,该模型可以向不同方向扩展,例如通过考虑不同的更新规则和社会学激励加以丰富。另一种可能是引入多维质量属性,来应对多种兴趣的可能性。
该模型还可以适应不断增长的网络形成模型,用户可以在不同时间加入,研究一些网红的崛起和。在理想情况下,这些研究可以与不同平台的实证分析相结合,比如在新一代中占主导地位的 Instagram 或 TikTok等。
未来,关于推荐系统在社交媒体平台上的作用,及其对用户行为的影响的初步结果,可能进一步扩展。用户行为与平台机制之间的相互作用,属于一个广泛、未探索的研究方向,可能会进一步阐明数字化大趋势对我们社会的影响。
网址:北大新研究用数学模型揭网红崛起奥秘!登上Nature子刊 https://mxgxt.com/news/view/1985464
相关内容
刘三女牙教授团队研究成果在Nature子刊《Nature Computational Science》上发表重大突破! 武汉科技大学青年教师在Nature子刊发表重要新材料研究成果
“网红”如何走红?科研人员建数学模型开展研究
连发3篇!师范大学在国际顶级期刊(IF5y=26.4、16.1)发表研究成果,在植物分子生物学领域取得重要突破
《Nature》最新研究:大数据预测你的偶像何时凉凉?
新突破!“双非”高校植物学领域在国际顶级学术期刊(IF5y=36.6)发表研究成果
DeepMind推出“AI足球助教”:画战术胜过人类教练,登Nature子刊
人类离破解大脑奥秘还有多远?国际大科学合作范式为脑科学研究按下“快进键”
科学研究揭秘上辈子缘分与今生夫妻相的奥秘
网红经济的崛起及其影响研究

