微博经过十来年的发展,已经演变成娱乐圈明星的一个宣传平台,早已不再是那个单纯的个人社交空间了。不仅是微博,还有QQ空间、博客、知乎、豆瓣、虎扑等等,都已经成为明星的宣传推广平台。犹记得当初,明星开设微博、建立网络社交账号,是为了拉近自己和粉丝之间的距离,也是为了表达最真实的自己。

当年,明星们都会公开在社交平台"写日记",讲述自己遇到的趣事,抒发自己最真实的感受,字里行间里全是自己真实的想法和心声。现在回看一些明星早期留下的"日记"、"碎碎念",都还是觉得真实又可爱,感觉当时的明星都是活生生的、有血有肉的。

比如蔡徐坤,当年十三四岁的他在百度贴吧留下了不少年少轻狂的言论,也在新浪博客写过一百几十字的小心得。虽然如今看来有点中二、有点沙雕,但是这样的他又何尝不是真实又可爱的呢。还有魏大勋,十几年前的他,经常在新浪博客写日记,写自己的目标,写自己对于人生的思考,写自己的生活态度等等,一样真实到令人觉得可爱。

任嘉伦当年还是任国超,他也会在社交平台写很多很多的小日记、小作文、小感悟,他的粉丝还贴心地把它们归成"国超文集"。如今的杨幂十条微博九条广告,粉丝已经很难从这些内容看到真实有血肉、有温度的杨幂了。可十年前的她,也是会在博客上写日记的,而且一写就能写四五百字,字里行间都是最真实的自己。

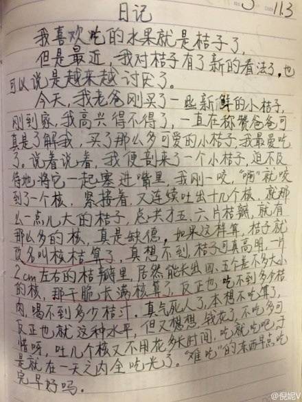
除了在网上写日记,还有明星公开晒过自己手写的日记。比如倪妮,她曾在《快乐大本营》上公开自己中学写的日记。而她的这本日记,也被网友调侃为"愤青女孩日记"。日记中有写到游泳,她抱怨"游泳没死就好"、"教练'逼近'我"、"泳衣太松要掉",看似负能量满满,实际碎碎念又搞笑可爱。

她还写橘子,洋洋洒洒几百字,写自己因为橘子核对橘子感到不满,并对橘子进行一系列控诉。网友看后乐到不行,本以为倪妮高冷,没想到当年也是个碎碎念女孩。

这样手写的日记、书信真的蛮有意义的,在未来的某天再翻阅,一定会有不一样的感受。只不过如今的人们,只要离开校园,动笔的次数是少之又少。但日韩艺人如今还保留写亲笔信的传统。比如他们公布婚讯、写致歉声明、写感谢信等,都会亲笔去写,然后将亲笔信拍下来上传到社交平台。

这样还蛮拉好感的,粉丝会感觉这位艺人真诚且有心,粉丝也能感觉得到这位艺人想和粉丝沟通的心意。不过内地娱乐圈很少有明星写亲笔信,别说亲笔信了,能在微博分享真实的感受就已经很好了。现在人们总爱谈一个"人设",明星更看重"人设"。可他们多年前,在社交平台写下那些内容时,根本不需要考虑那么多。那些接地气、掏心窝的话语,在今天看来是那么的可爱,那么的宝贵。返回搜狐,查看更多

